DOM مخفف Document Object Model و یک آبجکت از تمام المنتهای موجود در یک صفحه HTML هست.
سند HTML زیر رو در نظر بگیرید:
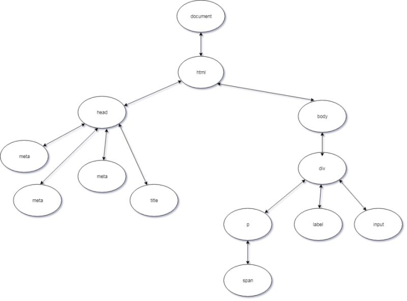
<!DOCTYPE html> <html lang="en"> <head> <meta charset="UTF-8"> <meta name="viewport" content="width=device-width, initial-scale=1.0"> <meta http-equiv="X-UA-Compatible" content="ie=edge"> <title>Document Object Model</title> </head> <body> <div> <p> <span></span> </p> <label></label> <input> </div> </body> </html>
وقتی این صفحه توسط مرورگر تفسیر میشه، یک آبجکت جاوا اسکریپتی شامل همهی المنتهای موجود به همراه همهی ویژگیهای اونها (پراپرتیها، رویدادها) درست میشه. یه چیزی مثل این:

به این مدل آبجکتی از سند میگن DOM.
حالا با استفاده از این آبجکت که DOM نام داره، میتونیم المنتهای HTML رو ویرایش، حذف و اضافه کنیم، به اونها رویداد اضافه کنیم و ... .
منبع: